Publications based on UDS data
Over 150 refereed papers have been published using data from the UDS. A library of UDS publications may be found here (courtesy NASA ADS). A selection of recent scientific highlights is given below.
Wilkinson et al. (2021) studied the large-scale clustering of post-starburst (PSB) galaxies in the distant Universe. The strength of clustering provides an estimate of the typical dark matter halo mass for these rare transition galaxies. They found that low-mass PSBs at lower redshifts (z<1) typically reside in very massive dark matter halos, consistent with being quenched in cluster-like environments. In contrast, high-mass, high-redshift PSBs show weaker clustering, suggesting quenching by internal processes. These results suggest at least two mechanisms are operating to rapidly switch off star formation in distance galaxies.
Elmer et al. (2020) used the unique 8-year baseline of deep infared imaging in the UDS to conduct the first study of long-term infrared variability in distant galaxies. They identified a sample of 393 variable objects as candidate Active Galactic Nuclei (AGN). Among these galaxies are a potentially new population of low-luminosity AGN residing within low-mass galaxies that are not identified by other means.
Krishnan et al. (2020) studied the large-scale clustering of Active Galactic Nuclei (AGN). The strength of clustering allowed them to estimate the typical mass of dark matter halos for galaxies hosting active black holes. They found that the strength of clustering can be explained entirely by the relative fraction of star-forming and passive host galaxies. They conclude that AGN activity is a relatively stochastic process, with little dependence on large-scale environment.
Maltby et al. (2019) studied the spectra of post-starburst galaxies in the distant Universe (z>1). These rare transition systems are galaxies in which a major burst of star formation was very recently (and rapidly) terminated. They found evidence for high velocity outflowing gas, travelling at ~1000 km/s. These winds may be the residual outflows from the event that ended the star formation. Dynamical masses are also obtained, in very good agreement with the stellar masses inferred from the multiwavelength photometry.
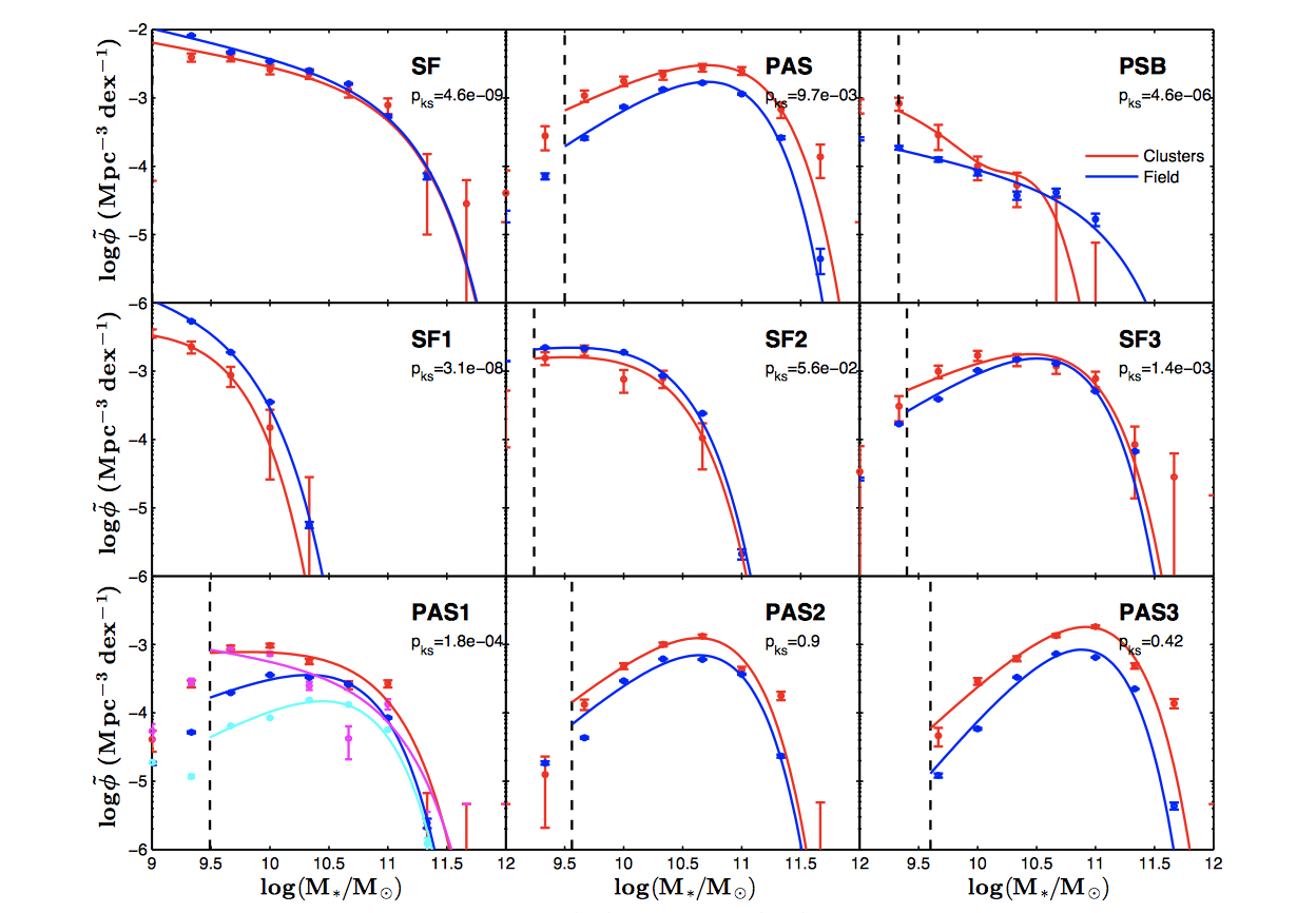
Socolovsky et al. (2018) identified galaxy overdensities in the UDS field, to study the influence of environment on galaxy evolution at high-redshift. They found a significant enhancement of recently-quenched low-mass galaxies in cluster environments, with a corresponding deficit of low-mass star-forming galaxies. The implication is that cluster environments play a direct role in rapidly switching off star formation.
Almaini et al. (2017) studied the structural properties of galaxies in the distant Universe, to explore the relationship between morphological transformation and the quenching of star formation. They found that the most recently quenched massive galaxies are exceptionally compact, and structurally very different to active star-forming population. The structural transformation of these galaxies must therefore occur before their star formation is quenched.
Mundy et al. (2017) used pair counts to study the merger history of galaxies over a wide range in redshift. They found that merging accounts for a significant fraction of the growth for massive galaxies at z<1, but star formation produces 10-100 times more mass growth at higher redshifts. They also found good agreement with semi-analytic models, but hydrodynamic models appear to overestimate the merger rates at early times.
Wilkinson et al. (2017) used the UDS to study the clustering of submillimetre galaxies (SMGs), which are highly luminous dust-enshrouded galaxies in the distant Universe. The strength of clustering on large scales provides a method for estimating the typical dark matter halo mass for this unique population. It was found that SMGs are very strongly clustered at high redshift (z>2.5), consistent with being the progenitors of massive elliptical galaxies in the present-day Universe.
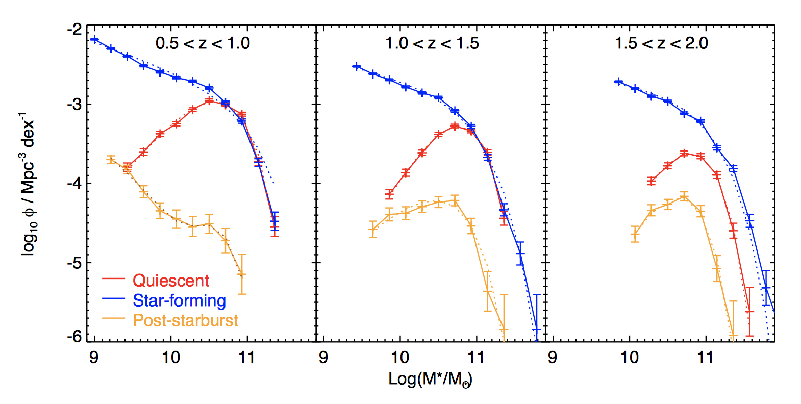
Wild et al. (2016) studied the evolution of galaxies in the UDS field, focussing in particular on the transition class known as "post-starburst" galaxies (PSBs). While very rare in the local Universe, massive PSBs were found to be far more common in the distant Universe (z>1). The implication is that a large fraction of massive galaxies form their stars rapidly in the early Universe before having their star formation abruptly quenched.
Maltby et al. (2016) used deep spectroscopy at VLT to confirm the existence of a large population of recently-quenched galaxies in the UDS field. Known as "post-starburst" galaxies, these are rare transition systems in which a major burst of star formation was recently switched off. The spectroscopic confirmation suggests that photometric methods (presented in Wild et al. 2014) can be used to select large samples of post-starburst galaxies in the distant Universe.
Hartley et al. (2015) and Kawinwanichakij et al. (2016) studied the star-forming properties of central and satellite galaxies in the UDS, to investigate the quenching of galaxies to z~2. They found evidence for "galactic conformity", with quiescent satellites more likely to be located around quiescent central galaxies.
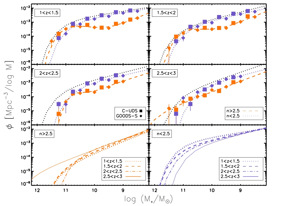
Mortlock et al. (2015) studied the evolution of the galaxy stellar mass function to z=3, tracing the build-up of the galaxy population. Separating galaxies by colour, mass, and structural parameters, they found that high mass passive galaxies at all redshifts are dominated by systems with high Sersic indices, suggesting a link between passivity and morphological transformation.
Wild et al. (2014) developed a new technique to classify galaxies in deep surveys, based on a Principal Component Analysis (PCA) of the multi-wavelength data in the UDS. In addition to separating passive and star-forming galaxies, the PCA technique identifies a distinct class of galaxies that have formed a large fraction of their mass in a recently quenched starburst. These rare objects, known as post-starburst galaxies (PSBs) provide a unique opportunity to understand the quenching of star formation in the distant Universe. The validity of the technique was confirmed with deep spectroscopy from VLT.
Bradshaw et al. (2013) used deep VLT spectroscopy to study large-scale outflows of gas from galaxies in the UDS. The subtle signatures of outflows were identified using the interstellar [MgII] absorption line, which required stacking spectra (typically galaxies 50 per bin). They found that high-velocity outflows are very common at high redshift (z>1), with outflow velocities increasing strongly with specfic star formation rate or colour. Velocities approaching 1000 km/s were observed for the most extreme star-forming galaxies.
Hartley et al. (2013) studied the evolution of galaxy clustering in the UDS field. The large-scale clustering of galaxies is governed by the distribution of dark matter halos, and provides a unique way to measure the typical halo mass for galaxies in different classes. In this paper, they find that halo mass is strongly correlated with the termination of star formation, with quiescent galaxies residing in the most massive dark-matter haloes at all redshifts (to z~3). The results may provide evidence that star-formation is quenched once the host dark matter haloes reach a critical mass of approximately 1013 solar masses.














